Тревожные вести Роллс-Ройса.

Модераторы: smixer, lt.ak, vova_k, Misha

Сообщение
Автор
ЛОДОЧНИК
Почетный SAONовец
Сообщения: 4011
Зарегистрирован: 12 окт 2008, 00:11
Member of AOPA: Yes
Откуда: деревня Ватулино

Тревожные вести Роллс-Ройса.

#1 Сообщение ЛОДОЧНИК » 17 мар 2015, 11:02

Вот. Почтальон Печкин заходил... :?
Вложения
RR300-7-018.PDF
(201.25 КБ) 527 скачиваний
image.jpg
image.jpg
image.jpg
image.jpg
Я все хочу, мне все здесь надо!
В этой жизни есть простое правило, пусть лучше будет маленький, но свой!

Аватара пользователя
pilotatotale
Гуру
Сообщения: 2041
Зарегистрирован: 15 июн 2011, 17:45
Member of AOPA: Yes

Тревожные вести Роллс-Ройса.

#2 Сообщение pilotatotale » 17 мар 2015, 11:48

Научиться бы теперь

z_ivan
Активный участник
Сообщения: 59
Зарегистрирован: 06 май 2014, 16:58
Member of AOPA: Yes

Тревожные вести Роллс-Ройса.

#3 Сообщение z_ivan » 17 мар 2015, 11:54

Я тоже 10 раз прочитал, но боюсь что не повторю(

ЛОДОЧНИК
Почетный SAONовец
Сообщения: 4011
Зарегистрирован: 12 окт 2008, 00:11
Member of AOPA: Yes
Откуда: деревня Ватулино

Re: Тревожные вести Роллс-Ройса.

#4 Сообщение ЛОДОЧНИК » 17 мар 2015, 19:24

Перевод обязательного эксплутационного бюллетеня SB RR300-A-72-018
Мне пока даже русский язык слабо помогает... :? Наверно давление влияет, надеюсь... :mrgreen:
SBRR300-7-018_ru.pdf
(492.18 КБ) 752 скачивания
Вложения
image.jpg
image.jpg
image.jpg
image.jpg
Я все хочу, мне все здесь надо!
В этой жизни есть простое правило, пусть лучше будет маленький, но свой!

Аватара пользователя
lt.ak
Не Гуру
Сообщения: 6573
Зарегистрирован: 19 авг 2008, 02:29

Re: Тревожные вести Роллс-Ройса.

#5 Сообщение lt.ak » 17 мар 2015, 19:39

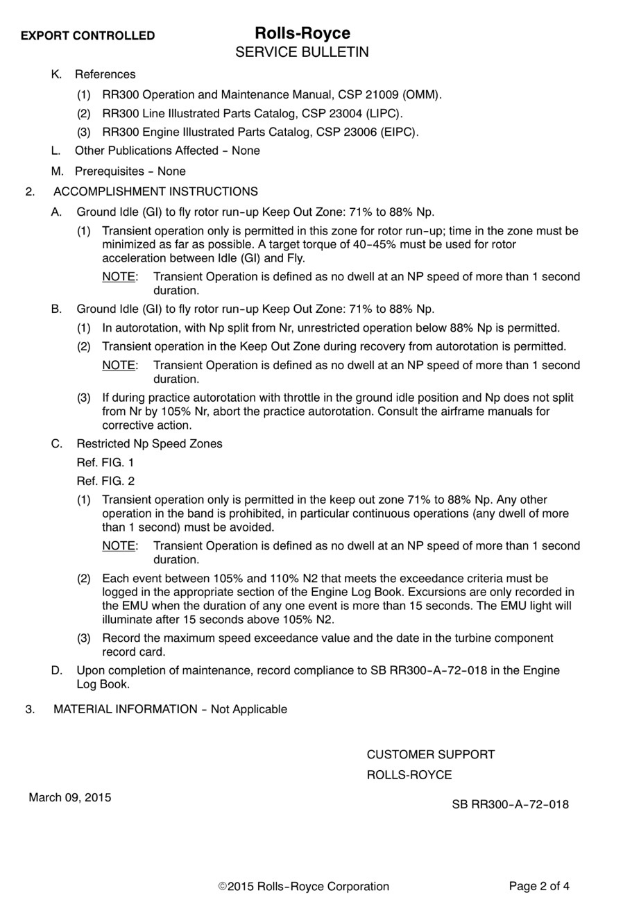
не знаю как остальной перевод, но вообще то "steady state" это "установившийся режим" ... да и вообще вся бумажка напоминание о том, что бы в определённых промежуточных режимах не задерживались ...
AIM 4-1-9 (g)(1) ... "Traffic in the area, please advise" is not a recognized Self-Announce Position and/or Intention phrase and should not be used under any condition.

Failure to comply with this warning will result in future warnings.

Аватара пользователя
lt.ak
Не Гуру
Сообщения: 6573
Зарегистрирован: 19 авг 2008, 02:29

Re: Тревожные вести Роллс-Ройса.

#6 Сообщение lt.ak » 17 мар 2015, 20:32

вкратце:

на настоящий момент жёлтый сектор на N2 78%-88% и POH R66 говорит, что "transient operation only" (Section 2, page 2-8) ...

эта бумажка по сути расширяет этот жёлтый сектор до 71%-88% и также напоминает не "жОвать сопли" (do not dwell) в этих режимах ...

по поводу 25%-50% говорится и в POH R66 - Section 4, page 4-8 ...
RHC писал(а):NOTE
When opening throttle, a target torque of at least 25% is recommended to minimize time transitioning through N2 yellow arc.

CAUTION
When opening throttle, avoid exceeding 50% torque.
AIM 4-1-9 (g)(1) ... "Traffic in the area, please advise" is not a recognized Self-Announce Position and/or Intention phrase and should not be used under any condition.

Failure to comply with this warning will result in future warnings.

Misha
R.I.P.
Сообщения: 9742
Зарегистрирован: 13 ноя 2007, 08:59
Member of AOPA: Yes
Откуда: Москва

Re: Тревожные вести Роллс-Ройса.

#7 Сообщение Misha » 17 мар 2015, 22:54

Вот и я думаю: чевой-то ЛОДОШНИК такой тревожный? Успокоительного перед сном 15 капель - и спать ;-)
В критической ситуации ты никогда не воспаришь на уровень своих ожиданий - ты неизбежно провалишься на уровень своей натренированности (с)

Аватара пользователя
rubaga
Гуру
Сообщения: 1972
Зарегистрирован: 23 июл 2011, 03:22
Member of AOPA: Yes

Re: Тревожные вести Роллс-Ройса.

#8 Сообщение rubaga » 18 мар 2015, 03:42

ЛОДОЧНИК писал(а):Вот. Почтальон Печкин заходил... :?
Сань! А ты про гайки уже писал?

Аватара пользователя
lt.ak
Не Гуру
Сообщения: 6573
Зарегистрирован: 19 авг 2008, 02:29

Re: Тревожные вести Роллс-Ройса.

#9 Сообщение lt.ak » 18 мар 2015, 03:46

rubaga писал(а):Сань! А ты про гайки уже писал?
забил он на гайки болт ... :lol:
AIM 4-1-9 (g)(1) ... "Traffic in the area, please advise" is not a recognized Self-Announce Position and/or Intention phrase and should not be used under any condition.

Failure to comply with this warning will result in future warnings.

ЛОДОЧНИК
Почетный SAONовец
Сообщения: 4011
Зарегистрирован: 12 окт 2008, 00:11
Member of AOPA: Yes
Откуда: деревня Ватулино

Re: Тревожные вести Роллс-Ройса.

#10 Сообщение ЛОДОЧНИК » 18 мар 2015, 11:55

lt.ak писал(а):
rubaga писал(а):Сань! А ты про гайки уже писал?
забил он на гайки болт ... :lol:
Я под гайки не попал.
Я все хочу, мне все здесь надо!
В этой жизни есть простое правило, пусть лучше будет маленький, но свой!

Аватара пользователя
rubaga
Гуру
Сообщения: 1972
Зарегистрирован: 23 июл 2011, 03:22
Member of AOPA: Yes

Re: Тревожные вести Роллс-Ройса.

#11 Сообщение rubaga » 18 мар 2015, 13:34

ЛОДОЧНИК писал(а):
lt.ak писал(а):
rubaga писал(а):Сань! А ты про гайки уже писал?
забил он на гайки болт ... :lol:
Я под гайки не попал.
Эгоист)))

Аватара пользователя
lt.ak
Не Гуру
Сообщения: 6573
Зарегистрирован: 19 авг 2008, 02:29

Re: Тревожные вести Роллс-Ройса.

#12 Сообщение lt.ak » 18 мар 2015, 18:06

Misha писал(а):Вот и я думаю: чевой-то ЛОДОШНИК такой тревожный? Успокоительного перед сном 15 капель - и спать ;-)
он похоже взял жёлтый маркер ... откорректировал шкалу на приборе ... и успокоился ... до следующего письма счастья ... :lol: :P :wink:
AIM 4-1-9 (g)(1) ... "Traffic in the area, please advise" is not a recognized Self-Announce Position and/or Intention phrase and should not be used under any condition.

Failure to comply with this warning will result in future warnings.

Аватара пользователя
rubaga
Гуру
Сообщения: 1972
Зарегистрирован: 23 июл 2011, 03:22
Member of AOPA: Yes

Re: Тревожные вести Роллс-Ройса.

#13 Сообщение rubaga » 18 мар 2015, 18:55

lt.ak писал(а):
Misha писал(а):Вот и я думаю: чевой-то ЛОДОШНИК такой тревожный? Успокоительного перед сном 15 капель - и спать ;-)
он похоже взял жёлтый маркер ... откорректировал шкалу на приборе ... и успокоился ... до следующего письма счастья ... :lol: :P :wink:
Ну не совсем так. Не до любого. Только до того, которое его затронет. Налицо однобокость позиции и эгоизм

ЛОДОЧНИК
Почетный SAONовец
Сообщения: 4011
Зарегистрирован: 12 окт 2008, 00:11
Member of AOPA: Yes
Откуда: деревня Ватулино

Re: Тревожные вести Роллс-Ройса.

#14 Сообщение ЛОДОЧНИК » 19 мар 2015, 00:38

rubaga писал(а):
lt.ak писал(а):
Misha писал(а):Вот и я думаю: чевой-то ЛОДОШНИК такой тревожный? Успокоительного перед сном 15 капель - и спать ;-)
он похоже взял жёлтый маркер ... откорректировал шкалу на приборе ... и успокоился ... до следующего письма счастья ... :lol: :P :wink:
Ну не совсем так. Не до любого. Только до того, которое его затронет. Налицо однобокость позиции и эгоизм
Я к своему глубокому сожалению получаю только то, что принесла сорока на хвосте. Сомневаюсь, а точнее уверен, что даже сегодня не все пилоты и инструкторы, уже многочисленных дилеров в этом городе, знают об этом бюллетене имеющем код 1 (незамедлительно), не говоря уже про летающую мимо пыль. Зачем людей нервировать...
Наверно я зажрался, обнаглел и ахренел. Но за последние пять лет я привык к тому, что у меня есть ангелы хранители, заботящиеся обо мне не смотря на то, что не получали уже лет несколько от меня кроме головной боли больше ничего. Но я привык получать оперативную информацию от дилера раньше и на двух языках, чем она приходит по подписке с завода. И при этом ни слова спама про бельков, Чебурашек или белые ночи.
Вложения
image.jpg
image.jpg
Я все хочу, мне все здесь надо!
В этой жизни есть простое правило, пусть лучше будет маленький, но свой!

Аватара пользователя
rubaga
Гуру
Сообщения: 1972
Зарегистрирован: 23 июл 2011, 03:22
Member of AOPA: Yes

Re: Тревожные вести Роллс-Ройса.

#15 Сообщение rubaga » 19 мар 2015, 02:05

Как хорошо, что теперь у нас есть ты!!! После замены гаек надеюсь наши борта будут практически идентичны

Ответить

Вернуться в «Robinson»